文章目录 当代码\"打架\"时:程序员的必修课(建议收藏) 一、为什么你的代码总在\"打架\"?(灵魂拷问) 二、解决冲突的七步绝杀技(实战干货) 第...
目前Docker+Ollama 是一个AI本地化部署最常见的组合之一,但现两者也有一些冲突设置。 问题表现:ollama run 模型 时候报错 Error: llama runner process ha...
一、前言 对于git rebase 一直不太了解,这几天想着提高下git提交质量,就发现了这个好用的指令,顺便记录一下,好加深记忆 贴出官方文档以便大家进一步学习 Git...
目录 哈希表 概念 冲突 负载因子调节 冲突的解决 哈希桶的实现 完整代码 哈希表 概念 哈希表是一种理想的从顺序表以及平衡树中查找元素的方式,它可以不经...
哈希表 引言(鸽巢原理) 一.哈希概念 1.1 哈希冲突 哈希冲突的产生原因 (一)哈希函数的局限性 (二)键的分布特性 1.2负载因⼦ 1.3 将关键字...
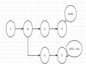
🌈 个人主页:Zfox_ 🔥 系列专栏:Git 企业级应用 目录 一:🔥 分⽀管理 🦋 理解分⽀ 🦋 创建分⽀ ...
报错信息 我们在使用 Spring 框架进行数据库操作时,可能经常会遇到这个异常: org.springframework.dao.DuplicateKeyException: ### Error updating databa...
接下来我将推荐一款体验了一个月非常好用的SVN。转门为 macOS 设计的 SVN 图形客户端 macSVN 下载地址是macSvn - macOS 平台 Subversion 客户端: 首页 他能...
🎬 HoRain云小助手:个人主页 🔥 个人专栏: 《Linux 系列教程》《c语言教程》 ⛺️生活的理想,就是为了理想的生活! ⛳️ 推荐 前些天发现...
目录 前言 一、相关空间要素 1、区域冲突目标查询 2、域外第三国势力查询 二、前后端应用实现 1、后台查询实现 2、前端Leaflet可视化 三、成果分析 1、冲突...