首 页
技术文档
知识分类
程序员档案馆
网站导航
首 页
技术文档
知识分类
>
有关“归纳法”的文章
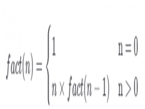
算法-基础算法-递归算法(Python)
文章目录 前言 递归和数学归纳法 递归三步走 递归的注意点 避免栈溢出 避免重复运算 题目 斐波那契数 反转链表 前言 递归(Recursion):指的...
Bloger
09-03
0
630
技术文档
☚
公告
DeepSeek全套部署资料免费下载
免费可商用字体批量下载
标签
仓库
代码
元素
函数
功能
区块
参数
命令
图像
在这里
地址
客户端
容器
对象
工具
开发者
技术
接口
插件
插入图片
操作
数据
数据库
数组
文件
方法
服务器
模块
模型
测试
版本
环境
用户
示例
程序
算法
系统
线程
组件
节点
视频
设备
路径
镜像
项目
猜你想看的文章
掌上英雄联盟战队在哪
lol紫色宝石能兑换什么皮肤
原神青睐旧堡攻略是什么
lol水晶哥为什么叫水晶哥
lol魔抗怎么计算
手机可以直播英雄联盟吗
英雄联盟亮度怎么调
英雄联盟定级赛是什么意思
英雄联盟每局评分最高多少
lol体验服怎么弄