<view class=\"refuelMoney-main\" style=\"padding-bottom: 200rpx;\"> <!-- 添加加油记录 --> <view class=\"refuel-itemTextArea\"> ...
<view class=\"refuelMoney-main\" style=\"padding-bottom: 200rpx;\"> <!-- 添加加油记录 --> <view class=\"refuel-itemTextArea\"> ...
一、apply函数 定义:apply函数在Pandas库中函数,应用对象是DataFrame或Series的行或列上,并返回一个新的DataFrame或Series。主要有两方面的功能:一是直...
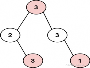
【LeetCode】打家劫舍III 💐The Begin💐点点关注,收藏不迷路💐 小偷又发现了一个新的可行窃的地区。这个地区只有一个入口,我们称...
目录 一、引子:看似简单的加法为何出错? (一)10% + 20% = 0.3?计算器为何不讲理? 0.1 + 0.2 ≠ 0.3 的反直觉现实 (二)从“理所当然”到“错愕”的转变 二...
python实现: # 对于任意钱数,求最少张数n = int(input(\"money: \")) # 输入钱数bills = [100, 50, 20, 10, 5, 2, 1] # 纸币面额种类total = 0for b in bi...
在前面三天的学习中,我们已经掌握了 Python 的基础语法、数据结构以及一些核心库的使用。今天,我们将通过三个实战项目,深入对比 C# 和 Python 在命令行工...
在 Vue 3 中使用 Element Plus 的 组件时,如果你想要对列数据进行合计(即计算某一列的总和),你可以通过几种方式来实现。以下是几种常见的方法: 方法1...