目录 一、背景与行业痛点 二、核心技术架构解析 2.1 异步爬虫引擎设计 2.2 K8S弹性伸缩架构 三、生产环境实践数据 3.1 性能基准测试 3.2 成本优化...
文章目录 1. 模块化RAG架构全景图 2. 预检索阶段:查询优化引擎 2.1 核心职责 2.2 关键组件实现 2.2.1 查询重写器(Query Rewriter) 2.2.2 查询扩展...
周立功汽车软件ZXDoc深度解析:新能源汽车开发新基建的破局之道 导读提示 本文通过构建\"技术穿透力-商业价值力-生态生命力\"三维评价模型,结合12家头部...
AutoGPT vs BabyAGI:自主任务执行框架对比与选型深度分析 🌟 嗨,我是IRpickstars! 🌌 总有一行代码,能点亮万千星辰。 🔍 在技...
本文为windows下git的下载安装和使用。 git下载和安装 参考: windows安装git(全网最详细,保姆教程)-CSDN博客 【学了就忘】Git介绍 — 4.Git的安装 - ...
要确定 Linux 服务器的架构是 ARM 还是 x86_64,可以使用以下几种方法: 方法一:使用 uname 命令 执行以下命令可以查看系统的架构信息: uname -m 如果输...
一、下载nginx安装包 nginx下载地址:https://nginx.org/en/download.html 二、解压并编译nginx应用 (1)解压安装包 首先将第一步下载的安装包上传到服...
Docker架构深度解析:从核心概念到企业级实践 一、Docker架构全景图 1.1 整体架构示意图 二、核心组件深度解析 2.1 Docker Daemon工作机制 三、...
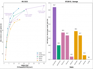
概述 目标检测已经取得了长足的发展,尤其是随着基于 Transformer 的模型的兴起。RF-DETR,由 Roboflow 开发,就是这样一种模型,它兼顾了速度和精度。使用 ...
📃个人主页:island1314 ⛺️ 欢迎关注:👍点赞 👂🏽留言 😍收藏 💞 💞 💞 生活总是不会一帆风...