1.初始化 SMMUv3驱动的入口函数如下代码所示。 [drivers/iommu/arm/arm-smmu-v3/arm-smmu-v3.c]static struct platform_driver arm_smmu_driver = { .driver...
📌往期推文全新看点(文中附带最新·鸿蒙全栈学习笔记) 📃 鸿蒙(HarmonyOS)北向开发知识点记录~ 📃 鸿蒙(OpenHarmony)南向开发保...
在 ZYNQ SOC 开发过程中,PL 和 PS 之间经常需要做数据交互,对于传输速度要求较高、数据量大、地址连续的场合,可以通过 AXI DMA 来完成。而对于数...
Apipost是一款专为开发者和测试人员设计的API测试工具,类似于Postman,但提供了更多的团队协作和文档管理功能。它可以帮助用户设计、测试、分享和管理API...
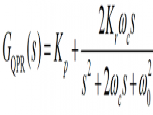
一、PR控制原理及离散化实现(C语言实现) 理想的PR控制器在共振频率(如50Hz或60Hz)处具有无限增益,但在数字控制系统中,这会引发数值不稳定、无法完全离...
Dell PowerEdge服务器的RAID控制器(PowerEdge RAID Controller,简称PERC)是用于管理服务器存储设备(如硬盘HDD或固态硬盘SSD)的关键组件。它们通过硬件...
浪潮(元脑服务器)NF5468M,配置BMC 基板管理控制器(Baseboad management controller)是一种位于主板上的管理控制器,它是一块独立的芯片或一个集成电路...
数字逻辑设计 可编程时钟分频器(支持动态分频比) 数字电子骰子(7段数码管显示,按键随机暂停) 自动售货机控制器(状态机实现投币-选择-找零逻辑) 交通...
Profinet Input Output Context Manager (PNIO-CM) PROFINET输入输出上下文管理器(PNIO-CM):此阶段在IO设备与IO控制器之间建立连接,并...