首 页
技术文档
知识分类
程序员档案馆
网站导航
首 页
技术文档
知识分类
>
有关“热传导”的文章
数学建模中热传导方程有限元法(FEM)的深度解析_热传导模型数学建模
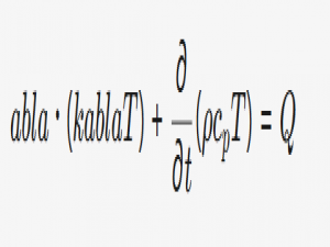
数学建模中热传导方程有限元法(FEM)的深度解析与工程实践 一、引言:热传导问题的物理本质与数学建模 热传导是自然界中普遍存在的能量传递现象,其数学描...
Bloger
09-02
0
972
技术文档
数学建模中热传导方程有限元法(FEM)的深度解析_热传导模型数学建模
数学建模中热传导方程有限元法(FEM)的深度解析与工程实践 一、引言:热传导问题的物理本质与数学建模 热传导是自然界中普遍存在的能量传递现象,其数学描...
Bloger
08-07
0
987
技术文档
☚
公告
DeepSeek全套部署资料免费下载
免费可商用字体批量下载
标签
仓库
代码
元素
函数
功能
区块
参数
命令
图像
在这里
地址
客户端
容器
对象
工具
开发者
技术
接口
插件
插入图片
操作
数据
数据库
数组
文件
方法
服务器
模块
模型
测试
版本
环境
用户
示例
程序
算法
系统
线程
组件
节点
视频
设备
路径
镜像
项目
猜你想看的文章
英雄联盟代练多少钱一个段位
英雄联盟手游怎么自定义
lol锐雯怎么玩
原神如何双人打风龙
英雄联盟电脑端可以删除游戏记录吗
原神桃源逗留记怎么开启
英雄联盟怎么加设备
原神2.2版本前瞻直播在哪看
lol游戏内怎么回好友
原神魈可以当主c吗