什么是动态规划(Dynamic Programming) 首先我们来看两张经典的图片 A \"1+1+1+1+1+1+1+1 =?\" A : \"上面等式的值是多少\"B : 计算 \"8!\"A 在上面等式的...
今天复习一下以前做过的题目,感觉是忘光了。 160. 相交链表 给你两个单链表的头节点 headA 和 headB ,请你找出并返回两个单链表相交的起始节点。如果两...
数据结构专栏 ⬅(click) 大家好!我是你们的老朋友——想不明白的过度思考者!今天我们要一起探索Java中两个神奇的数据结构:Map和Set!准备好了吗?让我...
题目:划分字母区间 题号:763 class Solution { public List partitionLabels(String s) { List list = new LinkedList(); int[] edge = new int[27]; cha...
一、题目解析 1、对逆序存储的数字求和,返回一个同样逆序的链表 2、不会出现先导0的情况 二、算法原理 解法:模拟两数相加的过程 定义一个变量t记录每一...
一.基础 1.套路 1.需要计算nums[i]的下一个更大/更小的下标/值(需要map映射),或者计算离的有多远/一个区间有多长[[七.单调栈#6. 853. 车队(中等)]][[七.单...
本文聚焦 Java 中 ArrayList 和 LinkedList 使用 fori 与 foreach 遍历的速度差异问题。先阐述两种集合的底层数据结构差异,再通过实验对比不同遍历方式的速...
题目描述 给你一个整数数组 nums 和一个整数 k ,请你返回其中出现频率前 k 高的元素。你可以按 任意顺序 返回答案。 提示:题目数据保证答案唯一,换句话说...
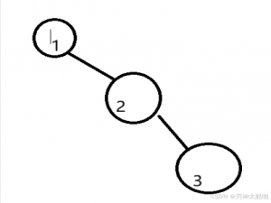
文章目录 前言 二叉搜索树(二叉排序树或二叉查找树) 二叉搜索树的模拟实现 二叉搜索树和有序数组二分查找的比较 两个搜索模型 作业部分 前言 二叉搜...
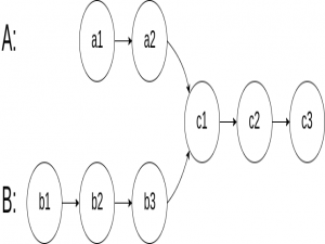
文章目录 一、框架分析 二、封装框架,解决KeyOfT 三、⽀持iterator的实现 四、const迭代器 五、实现key不支持修改 六、operator[ ] 七、一些补充(reserve...