📢本篇文章是博主强化学习(RL)领域学习时,用于个人学习、研究或者欣赏使用,并基于博主对相关等地方的一些理解而记录的学习摘录和笔记,...
文章目录 1.模板设计模式 1.超类型 Action.java 行为能力接口 2.具体模板 ApiTemplate.java 聚合行为能力,不同的行为能力,使得模板有不同的...
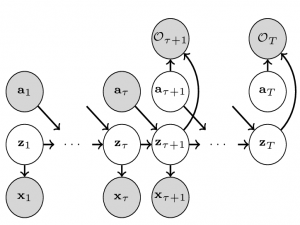
机器人操作仍然是机器人技术中最困难的挑战之一,其方法范围从基于经典模型的控制到现代模仿学习。尽管这些方法已经取得了实质性进展,但它们通常需要大量的...
💡 一句话真相:Redis内存淘汰就像\"仓库爆满时的清仓策略\"📦——根据你的业务需求,智能选择保留最新商品(LRU)还是清空临期货架(TTL)! ...
文章声明:本内容为个人的业余研究,和任何单位,机构没有关系,文章出现的股票代码,全部只是测试例子,不做投资参考,投资有风险,代码学习使用,不做商业...
——从手动操作到智能交易的进化之路 期货交易者的4大致命痛点 跨市场操作效率低下:同时交易商品、股指、利率期货需频繁切换平台? 合约管理复杂:主力...
Bisheng测试策略:单元测试与集成测试实践 【免费下载链接】bisheng Bisheng is an open LLM devops platform for next generation AI applications. 项...
Docker存储卷备份策略于vps服务器环境的实施标准与恢复测试在云原生技术普及的今天,Docker存储卷作为容器化应用数据持久化的核心组件,其备份策略直接...
📝前言说明: 本专栏主要记录本人的贪心算法学习以及LeetCode刷题记录,按专题划分 每题主要记录:(1)本人解法 + 本人屎山代码;(2)优质解法 + ...
基于Python的量化交易实盘部署与风险管理指南 一、模拟交易与参数优化 1.1 券商API接入与模拟交易 在量化交易落地前,模拟交易是策略验证的“安全沙箱”,其...