在单片机中测量NTC(负温度系数)热敏电阻的阻值,通常需要将其转换为电压或频率信号,再通过单片机进行采集和处理。以下是几种常见的方法及其详细说明: ...
目录 闪灯原理 2种接线方式控制闪灯 使用推挽接法 使用开漏接法 看原理图 写代码 闪灯原理 LED灯有个2-10mA的电流就可以点亮 3.3/510=0.006A=6mA 2种接...
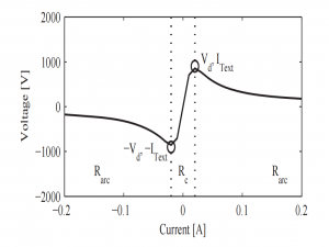
电气防爆知识-本安电路设计基础:为电气安全保驾护航 去发现同类优质开源项目:https://gitcode.com/ 项目介绍 在电气工程领域,安全一直是核心关注点。特别...
💥💥💞💞欢迎来到本博客❤️❤️💥💥 🏆博主优势:🌞🌞🌞博客内容尽量做到思维缜...
目录 一、EFUSE 的本质:电子世界的「智能保险丝」 从传统保险丝到 EFUSE 的进化 EFUSE 的工作原理:微观世界的「电路警察」 二、EFUSE 的双重身份:系统级...
我们在很多的单片机电路中都会看到复位电路,如下所示: 以上是我们的STM32103C8T6最小系统板中的复位电路,以上为例,来研究下复位电路: A.首先我们先看左...
电源电路是电子设备的 “心脏”,负责将外部电能(如市电、电池)转换为设备所需的稳定电压 / 电流。根据输入输出形式和应用场景,常用的电源电路可分为以下几...
ESim电工仿真软件使用说明 目录 第1章:软件概述与安装 1.1 软件简介 1.2 主要功能特性 1.3 系统要求 1.4 安装步骤 1.5 首次启动设置 第2章:界面介绍与布...
基于STM32的太阳能充电宝设计 演示视频: 目录 摘 要 引 言 第一章概述 1.1研究目的及意义 1.2国内外研究现状 1.3提出问题及研究切入点 1.3.1提出问题 1.3....
一、基础学习 电子技术基础 学习内容: 数字电路 :基本的数字逻辑门(与、或、非、与非、异或等),学习组合逻辑电路(编码器、解码器等)和时序逻辑电路...