本文还有配套的精品资源,点击获取 简介:此软件专为嵌入式系统开发者设计,以u-boot开源引导加载程序为核心,针对基于Samsung S5PV210处理器的Tiny4412...
一、性能瓶颈分析 1.1 常见性能杀手 问题类型 典型表现 影响范围 Draw Call 爆炸 每帧渲染调用超过1000次 GPU 渲染性能 内存占用过高 浏览器进程内存突破...
在无图形界面的服务器上运行 LM Studio LM Studio 是一个强大的本地大模型管理和运行工具,但它本身是一个图形化(GUI)应用。本文将详细介绍如何在只有命...
🚀 SpringBoot 启动流程全解析(含源码入口) 你是否也用过 @SpringBootApplication 一键启动,却从没真正想过: SpringBoot 到底启动了什么? 谁...
目录 1、QGC中升级固件 1.1、详细流程:更新加载固件 1.2、安装 PX4 主固件、测试版固件或定制固件 2、加载指定版本固件 2.1、下载固件 2.2、烧录固件 1...
本文还有配套的精品资源,点击获取 简介:CefSharp允许.NET开发者将Chromium浏览器内核嵌入Windows、Linux和macOS应用程序。通过”CefSharpDemo”示例项目...
往期鸿蒙全套实战文章必看:(附带鸿蒙全栈学习资料) 鸿蒙开发核心知识点,看这篇文章就够了 最新版!鸿蒙HarmonyOS Next应用开发实战学习路线 鸿蒙H...
Nextcloud AIO Web界面开发:Twig模板与JavaScript交互 【免费下载链接】all-in-one The official Nextcloud installation method. Provides easy deploym...
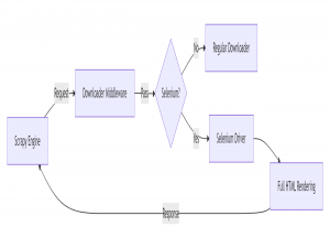
引言:Scrapy与Selenium融合的必要性 在现代Web生态系统中,动态网页已成为互联网的主流形态。根据2023年Web技术调查数据显示: 全球Top 1000网站中,9...
OpenHarmony-TPC/ImageKnife 项目介绍与核心功能 【免费下载链接】ImageKnife 专门为OpenHarmony打造的一款图像加载缓存库,致力于更高效、更轻便、更简单...