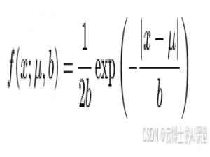
第20节 拉普拉斯分布:尖峰与重尾的叙事 拉普拉斯分布(Laplace Distribution)是一种对称的概率分布,具有尖峰状的概率密度函数和相对较厚的尾部。它在许多...
谱聚类的基本概念与背景 谱聚类作为机器学习领域中一种重要的聚类方法,其独特之处在于将数据点视为图论中的顶点,通过图划分的方式实现聚类目标。这种算法...