以后只作为问题笔记 1.导入库,包括Pipeline 和相关预处理工具 2.分离xy,划分数据集 3.定义预处理:(构建小转换器) 构建处理有序特征的 Pipeline: 先...
目录 一、用法精讲 58、pandas.isnull函数 58-1、语法 58-2、参数 58-3、功能 58-4、返回值 58-5、说明 58-6、用法 58-6-1、数据准备 58-6-2、代码示例 58-6...
目录 一、用法精讲 58、pandas.isnull函数 58-1、语法 58-2、参数 58-3、功能 58-4、返回值 58-5、说明 58-6、用法 58-6-1、数据准备 58-6-2、代码示例 58-6...
Python Pandas库简介及常见用法 一、 Pandas简介 1. 简介 2. 主要特点 (一)强大的数据结构 (二)灵活的数据操作 (三)时间序列分析支持 (四)与...
当你的电脑弹出\"找不到vcruntime140.dll,无法继续执行代码\"错误时,意味着系统缺失了这个关键的运行库文件。vcruntime140.dll是Microsoft Visual C++ Red...
打包的时候遇到 XCode 版本过低需升级至 15 版本后才可以; 期间对 Mac 系统和 XCode 升级后,打开项目工程编译抛出了如下异常: SDK does not contain \'libar...
目录 一、用法精讲 186、pandas.Series.is_monotonic_increasing属性 186-1、语法 186-2、参数 186-3、功能 186-4、返回值 186-5、说明 186-6、用法 186-6-1...
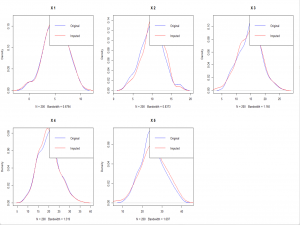
虽然我们常常在数据处理中做数据分布以及异常值的处理,但实际上对于缺失值,很多时候我们都不能简单地去删除或赋予0值,毕竟很多都是有意义的数据,只是可...
摘要:在工业设备健康监测中,振动传感器数据是评估设备状态的核心依据,但高频噪声干扰、数据传输缺失、多设备时间戳错位等问题严重影响分析准确性。本文...
目录 1. 环境准备 2. 数据处理与清洗 2.1 导入数据 2.2 数据清洗 示例:处理缺失值 示例:处理异常值 2.3 数据转换 3. 数据分析 3.1 描述性统计 ...