一、前言 在我们进行嵌入式开发时,驱动开发也是十分重要的一步,在很多时候,我们的都需要自己来编写硬件的底层驱动,实现硬件与芯片的通信,常见...
摘要:视频行为识别是计算机视觉的重要研究方向,在安防监控、智慧零售等地方具有广泛应用。本文系统讲解基于LSTM的视频行为识别技术,涵盖时序建模核心原...
1 BQ32Z100电池调试记录 实际项目中使用了BQ32Z100芯片,进行电池电量、电压、电流等参数,BQ34Z100-G1 器件提供多个接口选项, 其中包括一个I2C 从接口、一...
基本概念 存储卡有很多种类,CF卡、记忆棒、SD卡、XD卡、MMC卡、MS卡、TF卡、MicroSD卡等。平时最常见的有SD卡和MicroSD卡两种, SD卡和MicroSD只是两张卡...
📚 推荐阅读:《Yocto项目实战教程:高效定制嵌入式Linux系统》(电子工业出版社) 本书系统讲解嵌入式Linux开发、驱动、BSP与实战项目,适合初学...
无迁移、高可用、资源占用小的集群时序数据存储方案! 9 月 1 日至 9 月 5 日,第 51 届 VLDB Conference 将于英国伦敦召开,时序数据库 Apache IoTDB 的研...
传说FPGA江湖中,有一门秘技,不循常规,不走正统,却能奇效频出。 修炼者皆言:此法不保长久,但求当下能跑。 第一式:时序随缘 · 刀走偏锋 口诀: 报告不...
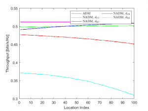
✅作者简介:热爱科研的Matlab仿真开发者,擅长数据处理、建模仿真、程序设计、完整代码获取、论文复现及科研仿真。 🍎 往期回顾关注个人主页:Matla...
目录 前言 一、VGA是什么? 二、物理接口 三、VGA显示原理 四、VGA时序标准 五、VGA显示参数 六、模块设计 七、波形图设计 八、彩条波形数据 前言 VGA的...
本文还有配套的精品资源,点击获取 简介:DS2401单线数字温度传感器在需要唯一标识和硬件加密的应用中具有重要作用。该传感器具有64位唯一序列号,由Max...