在物联网系统中,时序数据库(TSDB)和关系型数据库(RDBMS)的存储顺序设计需要根据数据特性、业务需求和系统架构综合考虑。以下是典型的设计方案和逻辑顺...
本文还有配套的精品资源,点击获取 简介:本文详细解析了Xilinx FPGA设计中PLL和MMCM的关键作用、配置方法和应用实践。介绍了PLL作为反馈控制系统稳定时...
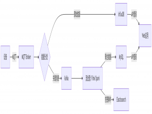
目录 物联网IoT平台的定义 物联网 IoT 平台发展历程 物联网IoT平台数据的特征 物联网IoT平台的处理流程 专为物联网 IoT 平台处理而生的时序数据库 物联网 I...
一文搞懂大数据时序分析的体系架构:从数据采集到智能决策的全栈技术指南 摘要/引言 在数字化浪潮下,时序数据正以前所未有的速度涌入各行各业——智能手表每...
【KWDB创作者计划】_针对KWDB时序数据库(多副本集群环境)进行压力测试 1. 概述 2. 压测环境部署 3. 生成测试数据 4. 写入性能测试 5. 查询性能测试 7. 总...
本文还有配套的精品资源,点击获取 简介:《ChipScope教程详解》全面介绍了ChipScope,一个由Altera公司开发的FPGA调试工具,现归Intel所有。教程从基础...
VGA显示彩条和图片 文章目录 VGA显示彩条和图片 一、VGA简介 二、功能设计 1、彩条设计 2、图片设计 三、结果展示 四、代码 一、VGA简介 VGA(Vide...
在数字化转型浪潮中,时序数据正成为企业数字资产的核心组成部分。从工业物联网的设备监控到金融市场的实时交易数据,从智慧城市的传感器网络到新能源汽车的...
详细解析 RK3568.dtsi设备树中 RKPM_SLP_ARMOFF_LOGOFF 这个属性的意义 DeepSeek-R1 回答完成 深度思考完成 用时33秒,搜索全网20篇资料 在 RK3568 设备树...
✅作者简介:热爱科研的Matlab仿真开发者,擅长数据处理、建模仿真、程序设计、完整代码获取、论文复现及科研仿真。 🍎 往期回顾关注个人主页:Matlab...