ch10 动态规划:二维DP 二维平面上的移动问题 例如算法基础“递推”的“路径计数”问题,本节课的“Number Triangles”、“过河卒”。 通常用 dp[i][j] 表示走到...
文中内容仅限技术学习与代码实践参考,市场存在不确定性,技术分析需谨慎验证,不构成任何投资建议。 Darts 是一个 Python 库,用于对时间序列进行用户友...
论文阅读:Pathformer: Multi-scale Transformers with Adaptive Pathways for Time Series Forecasting 1.多尺度建模 2.自适应路径选择 3.时间序列分解 4....
介绍 最长递增子序列(Longest Increasing Subsequence,简称 LIS)是一个经典的动态规划问题,广泛应用于算法设计和问题求解中。它的基本目标是从一个给定...
推荐系统生成式架构正逐步从技术探索走向工业级落地,其发展趋势已显现出明确的技术优势和应用潜力。以下从技术革新、工业实践、挑战与未来方向三个维度展开...
目录 零、动态规划的核心思想 一、斐波那契数列(Fibonacci Sequence) 二、最长公共子序列(Longest Common Subsequence, LCS) 三、背包问题(Knapsack Pr...
在 Premiere Pro 中导出视频出现黑边(上下或左右的黑边)通常是由于 分辨率不匹配 或 序列设置问题 导致的。以下是详细原因和解决方法: 🔍...
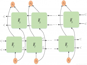
基于 BiLSTM+自注意力机制(改进双塔神经网络) 的短文本语义匹配 代码详见:https://github.com/xiaozhou-alt/Semantic_Matching 文章目录 基于 BiLSTM+自...
子序列问题二 1.最长定差子序列 2.最长的斐波那契子序列的长度 3.最长等差数列 4.等差数列划分 II - 子序列 点赞👍👍收藏🌟dz...
论文阅读:Pathformer: Multi-scale Transformers with Adaptive Pathways for Time Series Forecasting 1.多尺度建模 2.自适应路径选择 3.时间序列分解 4....