前言 在信息系统逐渐走向数字化、云端化的今天,账号密码登录已不再是足够安全的手段。数据泄露、撞库攻击、社工手段频发,仅靠「你知道的密码」已不足以保...
本期热议期刊 《Scientific Reports》 根据科睿唯安官方的最新推文,今年的JCR报告将于6月下旬震撼发布! 来源:科睿唯安公众号 期间部分期刊所受到的关注...
最近逛某乎,碰到了这个问题:如何看待量化交易WorldQuant世坤大赛北大牛人提交了6万+因子? 我的第一直觉,这肯定不是纯手工挖出来的,6w个因子,一天挖一...
好久不见,我是云边有个稻草人,偶尔中二博主与你分享C++领域专业知识^(* ̄(oo) ̄)^ 《C++》—本篇文章所属专栏—持续更新中—欢迎订阅~喔 目录 一、AVL的概念...
目录 1. AVL的概念 2. AVL树的实现 2.1 AVL树的结构 2.2 AVL树的插入 2.2.1 AVL树插入一个值的大概过程 2.2.2 平衡因子更新 2.2.3 插入结点及更新平衡因子...
目录 AVL树的概念 为啥要有AVL树? 概念 AVL树节点的定义 AVL树的插入 AVL树的旋转 左单旋 右单旋 左右双旋 右左双旋 AVL树的查找 AVL树的验证 end...
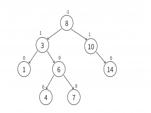
AVL 一.AVL树的概念 二.AVL树的实现 2.1AVL树的结构 2.2AVL树的插⼊ AVL树插⼊⼀个值的⼤概过程 平衡因⼦更新 2.3旋转 左左不平衡----- 右旋 代...
什么是曲面细分着色器? 曲面细分着色器是 DirectX 11 (以及 OpenGL 4.0) 引入的、位于顶点着色器和几何着色器之间的可编程管线阶段。它的...