文章目录 一、 题目描述 二、 核心思路:递归地比较 三、 递归的终止条件 (Base Cases) 四、 代码实现与解析 五、 关键点与复杂度分析 六、 总结与拓展 L...
目录 1 树的概念及结构 1.1 树的结构 1.2 树的概念 1.3树的表示 2 二叉树的概念及结构 2.1二叉树的概念 2.2 特殊的二叉树 2.3 二叉树的存储结构 1 树的概念...
前言 C++算法与数据结构 打开打包代码的方法兼述单元测试 性质 网格 性质一:四连通、八连通单格图没有自环和重边,故没有一个节点或两个节点的环。 性质二...
目录 1. 二叉搜索树的概念 2. 二叉搜索树的性能分析 3.二叉搜索树的实现 3. 1.二叉搜索树的插入 3.2. 二叉搜索树的查找 3.3. 二叉搜索树的删除 3.4. 二叉搜...
前言 在C++的STL标准库中的set、map、multiset和multimap的底层实现都是二叉搜索树。 而进行搜索数据的方式有: 暴力搜索。 二分搜索(缺陷:二分查找需要...
请君浏览 前言 1. 二叉搜索树的概念 2. 二叉搜索树的作用 3. 二叉搜索树的使用及相应的代码实现 3.1 二叉搜索树的插入 3.2 二叉搜索树的查找 3.3 二...
个人主页: 爱编程的小新~欢迎大佬们的访问 一. 树型结构 1. 树形结构的特点 2. 非树形结构 3. 树型结构的基本特性 4. 树的表现形式 二. 二叉树 2.1 二叉...
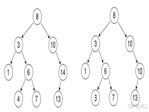
🌲 二叉树算法经典题目总结(3)(C++ 实现) 二叉树是数据结构中的重要组成部分,也是面试中的高频考点。本文总结了四道经典的二叉树问题,涵盖不同...
前言 本文用于整理LeetCode Hot100中题目解答,因题目比较简单且更多是为了面试快速写出正确思路,只做简单题意解读和一句话题解方便记忆。但代码会...
一.topk问题 取N个数中最大(小)的前k个值,N远大于k 这道题可以用堆的方法来解决,首先取这N个数的前k个值,用它们建堆 时间复杂度O(k) 之后将剩余的N-k个数据...