🧑 博主简介:曾任某智慧城市类企业算法总监,目前在美国市场的物流公司从事高级算法工程师一职,深耕人工智能领域,精通python数据挖掘、可视化、...
上一期【人工智能-17】机器学习:KNN算法、模型选择和调优、朴素贝叶斯分类 文章目录 一、决策树 1.使用理由 2.技术 二、随机森林 1.使用理由 2.原...
OpenCV VideoCapture 设置和获取摄像头参数 使用 OpenCV 的 cv::VideoCapture 类可以方便地获取和设置摄像头参数,如分辨率、帧率、曝光、增益、对比度等。 ...
决策树的 “信息增益” 与 “Gini 系数”:数学原理对比及 Sklearn 参数调优实战 我们常常听到“决策树”、“随机森林”这样高大上的名词,但它们背后的工作原理究竟...
概述 声音无时无刻不充斥在我们的生活中,人类可以通过耳朵听取声音,可以通过嘴巴发出声音,如唱歌和读书。同样的,计算机可以通过麦克风录制声音,可以通...
webrtc降噪和增益的部分代码:让音频信号更清晰的秘密武器 去发现同类优质开源项目:https://gitcode.com/ 项目核心功能/场景 实现无需噪音样本的降噪及增益...
webrtc降噪和增益的部分代码:让音频信号更清晰的秘密武器 去发现同类优质开源项目:https://gitcode.com/ 项目核心功能/场景 实现无需噪音样本的降噪及增益...
概述 声音无时无刻不充斥在我们的生活中,人类可以通过耳朵听取声音,可以通过嘴巴发出声音,如唱歌和读书。同样的,计算机可以通过麦克风录制声音,可以通...
webrtc降噪和增益的部分代码:让音频信号更清晰的秘密武器 去发现同类优质开源项目:https://gitcode.com/ 项目核心功能/场景 实现无需噪音样本的降噪及增益...
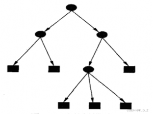
引入 决策树是一类预测模型,它代表的是对象属性与对象值之间的一种映射关系。树中每个节点表示某个对象,而每个分叉路径则代表某个可能的属性值,而每个叶...