推荐阅读:《程序化炒股:如何申请官方交易接口权限?个人账户可以申请吗?》 如何通过API实现ETF套利?完整策略公开 引言 ETF(Exchange-Traded Fund,交...
目录 贪心策略与动态规划:以硬币支付问题为例 贪心策略的概念与特点 硬币支付问题的贪心解法 问题描述 贪心思路 代码实现 与暴力法对比 贪心策略的优化本质...
Caffeine 缓存框架:性能优化的秘密武器 欢迎使用Caffeine 缓存框架 一、缓存的基本概念 二、Caffeine 简介 三、Caffeine 的基本使用 四、缓存回收策略 ...
目录 一.NFS与RPC 二.nfs服务安装与部署 2.1.nfs服务软件安装与环境部署 2.2.nfs服务端配置共享资源--/etc/exports 2.3nfs策略文件参数配置 三.nfs客户端动...
注:本人也是kamailio初学者,如果有错误的地方欢迎评论区指正。本文面向kamailio初学者,所以很多步骤写的非常详细,希望能给初学者一点小小的指引 本文参...
躲藏博弈中的策略优化:整合历史数据、概率论与博弈论 一、引言 躲藏博弈(Hiding Games)作为一类特殊的博弈模型,广泛存在于军事对抗、网络安全、商业竞争甚...
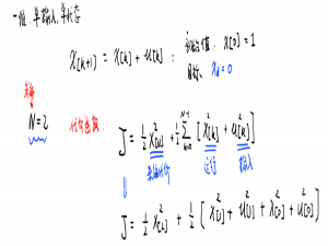
目录 文章目录 目录 系统描述 控制策略1 控制策略2 两种策略比较 解析的方法求最优控制策略 最优控制策略的具体推导过程 1.分析 J 1 − 2 J_{1-2}...
问题描述 新建好一台windows虚拟机,两台设备网络是互通的,但是物理机在访问虚拟机的网络共享文件资源时,出现图下所示的报错:XXX无法访问。你可能没有权...
A Generalized Algorithm for Multi-Objective Reinforcement Learning and Policy Adaptation【NeurIPS 2019】 文章目录 研究背景 问题建模:MOMDP wi...
设计模式(二十二)行为型:策略模式详解 策略模式(Strategy Pattern)是 GoF 23 种设计模式中最具实用性和广泛影响力的行为型模式之一,其核心价值在于定...